Exemples du cours Variables aléatoires

Lycée du Parc, Lyon, première S 634

Exemple 1

  1. On a écrit sur les quatre faces d'un dé équilibré les lettres du mot ABBC.

    L'univers \(\Omega\) de cette expérience aléatoire est constituée de \(4\) issues élémentaires équiprobables.

    1. La probabilité de l'événement "Lire un A" est \(\frac{1}{4}\).

      La probabilité de l'événement "Lire un B" est \(\frac{2}{4}=\frac{1}{2}\).

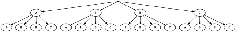
    2. On lance deux fois le dé ABBC (lancers indépendants).

    L'univers est constitué de \(4 \times 4= 16\) issues élémentaires qui sont des listes constituées des 2 lettres tirées dans l'ordre.

    Pour calculer la probabilité d'un événement E, il suffit de dénombrer les issues élémentaires avec l'arbre et d'appliquer la formule :

    \begin{equation*} \text{P}(\text{E})=\frac{\text{nombre d'issues qui réalisent E}}{\text{nombre total d'issues de } \Omega} \end{equation*}
    • la probabilité de lire le mot AB est \(\frac{2}{16}=\frac{1}{8}\)

      • la probabilité de lire le mot BC est \(\frac{2}{16}=\frac{1}{8}\)

      • la probabilité de lire un mot sans la lettre C est de \(\frac{3 \times 3}{16}= \frac{9}{16}\).

      • la probabilité de lire un mot avec au moins une fois la lettre C est \(1 - \frac{9}{16}=\frac{7}{16}\) car cet événement est le contraire du précédent.

2 lancers successifs du dé à quatre faces ABBC

2 lancers successifs du dé à quatre faces ABBC

  1. Une classe de première comporte \(33\) élèves. \(15\) pratiquent le hand-ball (noté H), \(8\) le tennis (noté T) et \(17\) ne pratiquent ni l'un ni l'autre. On choisit un élève au hasard dans cette classe. Chaque élève a une probabilité de \(\frac{1}{33}\) d'être choisi.
\(H\) \(\overline{H}\) Total
\(T\)
\(8 - 1= 7\)
\(18-17=1\) 8
\(\overline{T}\) \(25 - 17 = 8\)
17 \(33- 8 =25 \)
Total 15 \(33 - 15 = 18 \)
33

Exemple 2

  1. On lance trois fois de suite une pièce équilibrée et l'on note après chaque lancer si le côté sorti est pile (noté \(P\)) ou face (noté \(F\)) .
3 lancers de pièces

3 lancers de pièces

  1. L'univers \(\Omega\) de cette expérience aléatoire est constituté de \(2 \times 2 \times 2 = 2^3=8\) issues élémentaires , qui sont toutes équiprobables.

    • Probabilité d'obtenir exactement un Pile : \(\frac{3}{8}\)

    • Probabilité d'obtenir aucun Pile : \(\frac{1}{8}\) donc la probabilité de son événement contraire Obtenir au moins un Pile est \(1-\frac{1}{8}= \frac{7}{8}\)

    • La fonction G associe à chaque issue élémentaire de l'univers \(\Omega\) un gain algébrique.

    \[ \mathbb{P}(G = 0,9)= \mathbb{P}(PFF) + \mathbb{P}(FPF) + \mathbb{P}(FFP)= \frac{3}{8} \]

  2. La variable aléatoire \(G\) prend quatre valeurs distinctes : \(1+1+1=3\), \(1+1-1,1=0,9\), \(1-1,1-1,1=-1,2\) et \(-1,1-1,1-1,1=-3,3\).

  3. Loi de la variable aléatoire \(G\) :

    • \(\mathbb{P}(G = 3)= \frac{1}{8}\)

    • \(\mathbb{P}(G = 0,9)= \frac{3}{8}\)

    • \(\mathbb{P}(G = -1,2)= \frac{3}{8}\)

    • \(\mathbb{P}(G = -3,3)= \frac{1}{8}\)

variable aléatoire gain

variable aléatoire gain

Exemple 3

  1. L'univers \(\Omega\) de cette expérience aléatoire est constitué des \(24\) secteurs de la roue. Comme les secteurs sont superposables, on peut définir sur \(\Omega\) une loi d'équiprobabilité. Soit \(X\) la variable aléatoire du gain au jeu.

    • \(4\) secteurs sur \(24\) font gagner \(10\) € donc \(\mathbb{P}(X=10)=\frac{4}{24}=\frac{1}{6}\).

    • \(6\) secteurs sur \(24\) font gagner \(5\) € donc \(\mathbb{P}(X=5)=\frac{6}{24}=\frac{1}{4}\).

    • \(14\) secteurs sur \(24\) ne font rien gagner donc \(\mathbb{P}(X=0)=\frac{14}{24}=\frac{7}{12}\).

  2. On considère désormais que le joueur mise \(2\) € pour participer au jeu. La mise doit être déduite de la somme reçue à l'issue du jeu. \(X\) désigne la nouvelle variable aléatoire du gain au jeu.

    On applique la formule Gain algébrique = Somme gagnée - Mise

    • \(4\) secteurs sur \(24\) font gagner \(10-2=8\) € donc \(\mathbb{P}(X=7)=\frac{4}{24}=\frac{1}{6}\).

    • \(6\) secteurs sur \(24\) font gagner \(5-2=3\) € donc \(\mathbb{P}(X=2)=\frac{6}{24}=\frac{1}{4}\).

    • \(14\) secteurs sur \(24\) font gagner \(0-2=-2\) € donc \(\mathbb{P}(X=-3)=\frac{14}{24}=\frac{7}{12}\).

Exemple 4 : calculs d'espérances de variables aléatoires

  1. Espérance de la variable aléatoire \(G\) définie dans l'exemple 2 :

    • \(\mathbb{P}(G = 3)= \frac{1}{8}\)

    • \(\mathbb{P}(G = 0,9)= \frac{3}{8}\)

    • \(\mathbb{P}(G = -1,2)= \frac{3}{8}\)

    • \(\mathbb{P}(G = -3,3)= \frac{1}{8}\)

L'espérance de la variable aléatoire \(G\) est donc :

\[\text{E}(G)=3 \times \frac{1}{8} + 0,9 \times \frac{3}{8} -1,2 \times \frac{3}{8} -3,3 \times \frac{1}{8} = -0,15\]

En moyenne ce jeu est donc défavorable au joueur avec une perte moyenne de \(-0,15\) € par partie sur un grand nombre de parties jouées.

Par exemple, sur \(10000\) parties, l'organisateur du jeu peut espérer un gain total de \(0,15 \times 10000 = 1500\) €.

Exemple 4 : calculs d'espérances de variables aléatoires (suite)

  1. Soit \(X\) la variable aléatoire de l'exemple 3 (dans le cas d'une mise de \(2\) €).

    • Rappel de la loi de probabilité de \(X\) :

      • \(\mathbb{P}(X=8)=\frac{4}{24}=\frac{1}{6}\).

      • \(\mathbb{P}(X=3)=\frac{6}{24}=\frac{1}{4}\).

      • \(\mathbb{P}(X=-2)=\frac{14}{24}=\frac{7}{12}\).

    On en déduit l'espérance de \(X\) :

    \[\text{E}(X)=8 \times \mathbb{P}(X=8) + 3 \times \mathbb{P}(X=3) - 2 \times \mathbb{P}(X=-2) = \frac{32+18-28}{24}=\frac{22}{24}=\frac{11}{12}\]

    L'espérance est positive, donc sur un grand nombre de parties, le gain moyen par partie d'un joueur est positif et le jeu est favorable au joueur.

    • Quelles valeurs \(v\) donner à la mise pour que le jeu soit défavorable au joueur c'est-à-dire que l'espérance soit négative ?

      • \(\mathbb{P}(X=10-v)=\frac{4}{24}=\frac{1}{6}\).

      • \(\mathbb{P}(X=5-v)=\frac{6}{24}=\frac{1}{4}\).

      • \(\mathbb{P}(X=-v)=\frac{14}{24}=\frac{7}{12}\).

    On en déduit l'espérance de \(X\) avec une mise de \(v\) € :

    \[\text{E}(X)= (10 -v) \times \mathbb{P}(X=10-v) + (5-v) \times \mathbb{P}(X=5-v) + (-v) \times \mathbb{P}(X=-v)\] \[\text{E}(X)= \frac{70-24v}{24}\]

    On résout l'inéquation correspondant à une espérance négative :

    \[\text{E}(X) <0 \Leftrightarrow 70 - 24v < 0 \Leftrightarrow \frac{35}{12} < v\]

    On conclut qu'une mise supérieure à \(\frac{35}{12}\) € permet d'avoir un jeu défavorable au joueur (ce qui est intéressant pour l'organisateur du jeu).

Exemple 6 : espérance comme valeur moyenne, loi faible des grands nombres

AlgoBox : esperance-loifaible
Tester l'algorithme

Cliquer sur ce bouton pour exécuter l'algorithme : 


Résultats

Code de l'algorithme

1   VARIABLES
2     DE EST_DU_TYPE NOMBRE
3     K EST_DU_TYPE NOMBRE
4     N EST_DU_TYPE NOMBRE
5     Y EST_DU_TYPE NOMBRE
6   DEBUT_ALGORITHME
7     LIRE N
8     Y PREND_LA_VALEUR 0
9     POUR K ALLANT_DE 1 A N
10      DEBUT_POUR
11      DE PREND_LA_VALEUR ALGOBOX_ALEA_ENT(1,6)
12      SI (DE==6) ALORS
13        DEBUT_SI
14        Y PREND_LA_VALEUR Y+1
15        FIN_SI
16      FIN_POUR
17    AFFICHERCALCUL Y/N
18  FIN_ALGORITHME


Loi faible des grands nombres

Variable aléatoire d'espérance \frac{1}{6}

Variable aléatoire d'espérance \(\frac{1}{6}\)

Exemple 11

Une urne contient une boule rouge (R), deux boules vertes (V) et trois boules bleues (B).

On tire au hasard une boule dans l'urne puis on remet la boule tirée et on tire au hasard une seconde boule dans l'urne.

Lors de chaque tirage, on note R l'issue Tirage d'une boule rouge , V l'issue Tirage d'une boule verte et B l'issue Tirage d'une boule bleue.

Arbre pondéré

Arbre pondéré

Exemple 11 (suite)

  1. Chaque boule tirée est remise dans l'urne donc les deux tirages sont mutuellement indépendants.

  2. Voir arbre.

  3. L'univers de cette répétition de deux expériences aléatoires identiques et indépendantes est constitué de \(3 \times 3 = 9\) listes de résultats : \((R;R)\); \((R;V)\), \((R;B)\), \((V;R)\), \((V;V)\), \((V;B)\), \((B;R)\), \((B;V)\) et \((B;B)\).

    • \(\mathbb{P}((R;B))=\frac{1}{6} \times \frac{1}{2}= \frac{1}{12}\).

    • \(\mathbb{P}((V;B))=\frac{1}{3} \times \frac{1}{2}= \frac{1}{6}\).

    • La probabilité de tirer une boule bleue au second tirage est :

    \[\mathbb{P}((R;B)) + \mathbb{P}((V;B)) + \mathbb{P}((B;B)) = \frac{1}{12} + \frac{1}{6} + \frac{1}{2} \times \frac{1}{2} = \frac{6}{12}= \frac{1}{2}\]

    Ce résultat est logique ...

    • La probabilité de tirer deux boules rouges est \(\mathbb{P}((R;R))=\frac{1}{6} \times \frac{1}{6} = \frac{1}{36}\).

      La probabilité de tirer deux boules vertes est \(\mathbb{P}((V;V))=\frac{1}{3} \times \frac{1}{3} = \frac{1}{9}\).

    • La probabilité de tirer deux boules de la même couleur est

    \[\mathbb{P}((V;V)) + \mathbb{P}((R;R)) + \mathbb{P}((B;B)) = \frac{1}{9} + \frac{1}{36} + \frac{1}{4} = \frac{14}{36} = \frac{7}{18}\]

    • La probabilité de l'événement complémentaire Tirer deux boules de couleurs différentes est donc :

    \[1 - \frac{7}{18} = \frac{11}{18}\]

    • La probabilité de Ne tirer aucune boule rouge est

    \[\mathbb{P}((V;V)) + \mathbb{P}((B;V)) + \mathbb{P}((V;B)) + \mathbb{P}((B;B)) =\frac{25}{36} \]

    • La probabilité de l'événement complémentaire Tirer au moins une boule rouge est donc

    \[1 - \frac{25}{36} = \frac{11}{36}\]

    • La probabilité de l'événement tirer exactement une boule rouge est

    \[\mathbb{P}((R;V)) + \mathbb{P}((V;R)) + \mathbb{P}((R;B)) + \mathbb{P}((B;R)) = \]

    \[ = 2 \times \frac{1}{6} \times \frac{1}{3} + 2 \times \frac{1}{6} \times \frac{1}{2} = \frac{5}{18}\]

    • L'événement Tirer au plus une boule rouge a pour complémentaire Tirer deux boules rouges dont la probabilité est \(\frac{1}{6} \times \frac{1}{6}= \frac{1}{36}\) donc sa probabilité est :

    \[1-\frac{1}{36}= \frac{35}{36}\]

    • L'événement Tirer au moins deux boules rouges est égal à l'événement Tirer deux boules rouges puisqu'il y a deux tirages. Donc sa probabilité est \(\frac{1}{6} \times \frac{1}{6}= \frac{1}{36}\) .

    • L'événement Tirer au plus deux boules rouges est réalisé par toutes les issues, c'est l'événement certain de probabilité \(1\).